L'insieme di Mandelbrot (torna...)

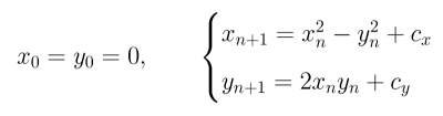
È il luogo dei punti (x,y) del piano che godono della seguente proprietà: la successione di punti definita per ricorsione da

è una successione limitata. Per chi ha dimestichezza con il piano dei numeri complessi, tale successione si scrive , dove .

Per esempio: per capire se il punto (2,1) appartiene o no all'insieme di Mandelbrot dobbiamo costruire la successione che è evidentemente illimitata, quindi il punto (2,1) non appartiene all'insieme di Mandelbrot. Se invece consideriamo banalmente il punto (-1,0) abbiamo e la successione continua a oscillare tra i valori (-1,0) e (0,0), quindi in particolare è limitata. Il punto (-1,0) dunque appartiene all'insieme di Mandelbrot. Ovviamente i conti non sono sempre così facili: ad esempio, da una piccola simulazione al calcolatore risulta che la successione costruita a partire dal punto (-1.1635189,0.22928247) è limitata e converge verso una successione periodica di periodo 72!

Continua...